En Uygun Çizgi Nasıl Bulunur?
Yeni bir pazarlama işinde olduğunuzu hayal edin. Önünüzde Excel’de satış numaralarıyla ilgili bir dizi veri ve masanızdaki bir grafik hesap makinesinde bu veri noktalarının dağılım grafiği var. Patronunuz geliyor ve öğlene kadar verilerin regresyon analizini yapmanızı istiyor – satışların trend çizgisini bilmesi gerekiyor. En uygun çizgiyi nasıl bulacağınız konusunda beyninizi zorlarsınız, bunun bir dağılım grafiği üzerinde düz bir çizgi bulmakla ilgili bir şey içerdiğini hatırlarsınız. Ne yaparsın?
En küçük kareler regresyonu, bir dizi veri noktasına en iyi uyan veya temsil eden doğrunun eğimini bulmak için kullanılan basit bir doğrusal regresyon analizidir.
Doğrusal bir denklem, bir grafik veya çizelge üzerindeki noktaların x değerleri ile y değerleri arasındaki doğrusal ilişkiyi temsil eder.
En Uygun Çizginin Denklemini Bulmak İçin 3 Adım
Gerçek dünya veri kümelerinin mükemmel veya kesin hatları yoktur. İşiniz, verileri temsil edebilecek veya tahmin edebilecek bir çizgi denklemi bulmaktır. Buna en uygun çizgi veya regresyon çizgisi denir.
Grafiğe göz küresi yapabilir, bir çizgi çizebilir ve bazı rastgele sayılar seçebilirsiniz. Veya en uygun çizgiyi metodik olarak bulmak için en küçük kareler regresyonunu kullanabilirsiniz. İşte nasıl.
Adım 1: Eğimi Bulun
En uygun çizgimizin eğimini bulmak için verilerinizi aşağıdaki gibi bir grafiğin her sütununda birleştirin. Her sütunun temsil ettiği şey:
- x: bir noktanın x koordinatı
- y: bir noktanın y koordinatı
: tüm x koordinatları için ortalama değer
: tüm y-koordinatları için ortalama veya ortalama değer
Bulabiliriz 

anlıyoruz 


anlıyoruz 


Eğimi bulmak için son sütundaki tüm değerleri toplarız, 

Başka bir deyişle, eğim 2.2’ye eşittir.
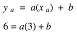
Adım 2: Y-Kesmesini Hesaplayın
Şimdi, lineer denklemlerin y=ax+b biçiminde olduğunu hatırlayabilirsiniz, burada a eğimi ve b y-kesişimini temsil eder.
Burada aynı denklemi kullanıyoruz. Fakat burada y ve x daha önce hesapladığımız ortalama değerlerdir.
Eğim=2.2’yi bildiğimiz için değeri takıp çözebiliriz.
3. Adım: Bir araya getirin
Şimdi her iki parçamız da var ve hepsini bir araya getirebiliriz! En uygun çizgimiz, diğer herhangi bir doğrusal denklem gibidir. Hem eğimimiz hem de y-kesme noktamız var.
En uygun ürün yelpazemiz:
En Uygun Çizgi Nasıl Bulunur?
En küçük kareler regresyonu, gerçek dünyada karşılaşabileceğiniz herhangi bir veri kümesi için en uygun çizginin denklemini bulmanın yaygın bir yoludur.
- Adım 1, ortalama x-değerini ve ortalama y-değerlerini hesaplamaktır. Buradan, en uygun doğrunun eğimini bulmak için bazı hesaplamalar yaparsınız.
- Adım 2, y-kesişimini bulmak için bu eğimi kullanmaktır.
- Adım 3, hepsini bir araya getirmektir.
İster sınıfta ister işte olun, artık herhangi bir veri kümesi için en uygun satırı nasıl bulacağınızı güvenle söyleyebilirsiniz!
: tüm x koordinatları için ortalama değer
: tüm y-koordinatları için ortalama veya ortalama değer








