Cebirsel İfade Nedir ve Neden Önemlidir?
Cebirsel ifade nedir? Cebirsel ifade, katsayıları, bilinmeyen değişkenleri, cebirsel işlemleri ve sabitleri kullanan matematiksel bir ifadedir. Ancak bir ifade eşittir işaretine sahip olamaz.
Cebirsel ifadenin tanımını genişletelim ve bunun diğer matematiksel ifade türlerinden nasıl farklı olduğunu açıklayalım.
Cebirsel İfade Nedir?
Aşağıdaki örneği kullanarak cebirsel bir ifade oluşturan terimleri inceleyelim:

- 3’ün sayısal değeri, bir değişkenle uyum içinde kullanılan bir sayı olan bir katsayını temsil eder.
- Bu ifadede x, bilinmeyen bir miktarı temsil eden bir harf olan bir değişkendir.
- Bu ifadedeki toplama işareti cebirsel bir işlemdir. “Aritmetik işlemler” ifadesi ile birbirinin yerine kullanıldığında cebirsel işlemler çarpma, bölme veya çıkarma sembolleriyle de temsil edilebilir. Ayrıca bu sembollerden biriyle birlikte bir karekök veya üs içerebilirler.
- 14 miktarı, açıkça tanımlanmış bir değere sahip bir sayı olan bir sabiti temsil eder.
Cebirsel bir ifade olarak sınıflandırmak için bu terimlerin hepsinin mevcut olması gerekir.
İfadeler ve Denklemler
Birçok farklı türde matematiksel ifade ve deyim vardır. Cebirsel denklemlerin ve sayısal ifadelerin cebirsel ifadelerle nasıl ilişkili olduğunu keşfedelim.
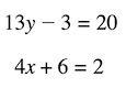
Cebirsel Denklemler
Cebirsel bir ifadeyi cebirsel bir denklemden ayıran tek şey eşittir işaretidir. İşte bazı ifadelere karşı denklem örnekleri:
Cebirsel İfadeler:

Cebirsel Denklemler:

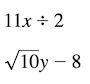
Sayısal İfadeler
Sayısal bir ifade, yalnızca cebirsel işlemleri ve sabitleri kullanan matematiksel bir ifadedir. Sayısal ifadelere bazı örnekler:

Sayısal ifadeler değişken kullanmadıkları için cebirsel ifadeler olarak sınıflandırılmazlar.
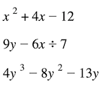
Cebirsel İfade Türleri
Artık ne tür matematiksel ifadelerin cebirsel ifadeler olarak sınıflandırılmadığını bildiğimize göre, farklı cebirsel ifade türlerini keşfedelim: iki terimli ifadeler, üç terimli ifadeler ve polinom ifadeler.
Binom ifadelerin iki terimi (bir sabit ve bir değişken) ve bir cebirsel işlem vardır.

Üç terimli ifadelerin iki cebirsel işlemi ve üç farklı terimi vardır: bir sabit ve iki farklı değişken, bir sabit ve iki farklı üslü iki değişken veya üç farklı üstel değere sahip üç değişken.

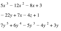
Polinom ifadeleri, birden fazla cebirsel işlemle birbirine bağlanmış dört veya daha fazla terime sahiptir:

Cebirsel İfade Nedir ve Neden Önemlidir?
Bir katsayı, değişken, cebirsel işlem ve sabiti nasıl tanımlayacağınızı anladığınızda, farklı cebirsel ifade türlerini sınıflandırmaya ve bunlarla çalışmaya başlayabilirsiniz. Birçok matematik seviyesinde cebirsel ifadeler kullanacaksınız.



