Bir Kesir Ondalık Olarak Nasıl Yazılır?
Bir kesrin ondalık sayı olarak nasıl yazılacağına ilişkin en kolay çözümü arıyorsanız, yardım etmek için buradayız. Burada, kesirleri ondalık sayılara dönüştürmenin üç basit yolunda size rehberlik edeceğiz.
Kesirler Nedir?
Kesirlerin payları ve paydaları vardır. Paylar bir kesrin en üstteki sayısıdır ve paydalar en alttaki sayılardır. Aşağıdaki kesirde 2 pay ve 6 paydadır:
Kesirleri yazmanın bir kısmı, pay ve paydanın bölünebileceği en büyük sayı olan ortak bir faktör bularak onları basitleştirmektir. Bu durumda ortak çarpan 2’dir. Kesir şu şekilde sadeleşir:
Kesirler ayrıca bölme problemlerini de gösterebilir. Bu durumda, pay bölen olarak adlandırılır ve payda bölen olarak adlandırılır (çünkü bölünen değerdir).
Yukarıdaki kesri bölecek olsaydık, cevap tam sayı olmazdı çünkü 1, 3’ten küçüktür. Bunun yerine, ondalık biçimini alırdık:
Artık kesirlerin nasıl çalıştığını anladığımıza göre, kesirlerin ondalık eşdeğerinin nasıl belirleneceğine bakalım.
Bir Kesir Ondalık Sayı Olarak Nasıl Yazılır?
Kesirleri ondalık sayılara dönüştürmenin en basit yolu bir hesap makinesi kullanmaktır. Ancak testlerdeki birçok matematik problemi hesap makinesi kullanmanıza izin vermeyecektir. Bu yüzden kesirlerin ondalık eşdeğerini elle nasıl bulacağınızı bilmeniz gerekir.
Yöntem 1: Uzun Bölme
İşte ondalık eşdeğerini belirlemek için uzun bölmenin nasıl kullanılacağına dair bir örnek. Aşağıdaki kesri kullanalım:
Bu kesri uzun bölme biçimine koyarak başlayalım. Bölen (6) sağ parantezlerin dışına yazılacak ve bölen (723) uzun bölme sembolünün içine yerleştirilecektir:
7’nin ilk değerini elde etmek için hangi değeri 6 ile çarpmamız gerektiğini belirleyerek başlıyoruz. 1 olan cevap uzun bölme sembolünün üstüne çıkıyor. 6 x 1, 6 değerlerini 7’den çıkaracağız:
7 eksi 6 eşittir 1. Şimdi 723’ten 1’in yanına 2 değerini getireceğiz. Bu 12 değerini oluşturur. 6’nın 12 ile çarpılması gereken değeri buluruz, yani 2:
6 x 2 12 olduğundan, 12’den 12 çıkarırız ve kalanını 0 buluruz.
Şimdi 3 değerini alt satırımıza indireceğiz. Ancak 3, 6’ya bölünemediğinden, ilk 3’ün üstüne bir 0 ve ardından bir ondalık nokta eklemeliyiz. Ardından, ek bir sıfır indireceğiz. 6’nın 5 ile çarpımı 30’a eşit olduğundan, en üste 0,5’i koyacağız:
Şimdi bu kesrin ondalık karşılığını biliyoruz: 723/6, 120,5.
Yöntem 2: Paydayı Çarpın
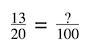
Bir kesri ondalık sayıya dönüştürmenin başka bir yolu da çarpmadır. Burada, 100’ü elde etmek için bir paydayı çarpabileceğiniz sayıyı bulacağız. Bunu göstermek için bu örneği kullanalım:
20 çarpı 5, 100’e eşit olduğundan, 13 payını da 5 ile çarpmamız gerekir:
Ardından, payın yeni değeri olan 65’i alacağız ve ondalık değerini belirlemek için ondalık noktayı iki basamak sola kaydıracağız:
Bir Kesir Ondalık Sayı Olarak Nasıl Yazılır?
Bir kesri ondalık sayı olarak yazmanın iki yöntemi vardır (bir hesap makinesini dahil ederseniz üç tane). 100 değerini elde etmek için uzun bölmeyi kullanabilir veya paydanın çarpılması gereken değeri bulabilirsiniz.
Bu yöntemlerde uzmanlaştıktan sonra, hesap makineniz olsun ya da olmasın, kesri ondalık değere çevirme işlemi basittir.















