Benzer Terimler Nedir ve Nasıl Birleştirirsiniz?
Benzer terimler nelerdir? Değişkenleri ve üsleri aynı değere sahip terimlerdir. İki terimin farklı değişkenleri veya farklı üsleri varsa, bunlara farklı terimler denir. İşte benzer ve benzemeyen terimlere bazı örnekler:
Benzer terimler:
Terimlerden farklı olarak:
Benzer terimlerin tanımlayıcı özelliklerini parçalayalım ve bunları nasıl birleştireceğinizi gösterelim.
Benzer Terimler Nelerdir?
x veya y değişkeni gibi benzer terimlerin değişken kısımları her zaman aynı olmalıdır:
Sayısal katsayıların, yani değişkenin önündeki sayının eşleşmesi gerekmez.
Benzer terimlerin hepsinin üslü olması gerekmez. Fakat varsa üslerin eşleşmesi gerekir:
Aşağıdaki terimler aynı değişkene sahip olsalar da, üslerinin değeri aynı olmadığı için terimlerden farklıdırlar:
Benzer Terimler Nasıl Birleştirilir
Aşağıdaki ifadeye bir göz atın:
Gördüğünüz gibi, bu cebirsel ifade benzer ve benzemeyen terimlerden oluşur. Basitleştirmek için benzer terimleri birleştireceğiz.
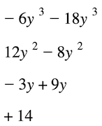
İfadedeki benzer terimleri tanımlayarak ifadeleri sadeleştirme sürecinden geçelim. Bunu yapmak için değişkenlere ve üslere bakacağız. Her değerin olumlu ve olumsuz işaretlerini koruyacağız:
Orijinal ifadeyi aldık ve benzer terimlere ayırdık. 14 değerinin değişkeni olmadığı için sabit terim olarak kabul edilir.
Benzer terimlerin geri kalanını birleştirelim ve ifadeyi sadeleştirelim:
Şimdi bu benzer terimleri birleştirdiğimize göre, basitleştirilmiş ifademizi yazalım:
Benzer Terimleri Tanımlamak ve Birleştirmek — Çok Kolay!
Çok sayıda terim, değişken ve üs içeren cebirsel ifadeler göz korkutucu olabilir. Ancak benzer terimleri nasıl tanımlayacağınızı ve birleştireceğinizi bildiğinizde çok daha az korkutucu hale gelirler.
Benzer terimlerin eşleşen değişkenleri ve üsleri vardır. Bir ifadenin benzer terimlerini nasıl gruplayacağınızı bildiğinizde, bunları basitleştirip kısaltarak çözmeyi çok daha kolay hale getirebilirsiniz.












