Geometrik Serilerin Toplamı Nasıl Bulunur?
Geometrik dizi, her sayının veya terimin, önceki terimin ortak bir oran r ile çarpılmasıyla bulunduğu bir sayı listesidir. İlk terimi a olarak adlandırırsak, geometrik seri aşağıdaki gibi ifade edilebilir:
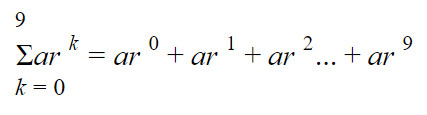
Buna sonlu geometrik dizi diyoruz çünkü sınırlı sayıda terim var (sonsuz bir geometrik dizi sonsuza kadar devam ediyor.) Bu örnekte 10 terim var, ortak oran r ve geometrik dizinin her bir terimi aşağıdaki gibidir. aynı desen. İlk terim a’dır. İkinci terim, önceki terimin r ile çarpımıdır. Üçüncü terim, ikinci terim ar’ı oluşturmak için tekrar r ile çarpılır. 
Sigma Notasyonu
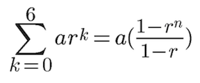
Sonlu bir geometrik dizinin ilk n teriminin toplamını şu denklemle gösterebiliriz:
Ardışık terimlerin bir listesinin toplamını ifade etmenin kısa yolu olan bu yaygın sigma gösterimini görebilirsiniz. Tüm n terimi tek tek listelemek yerine, tek bir genel terim görürsünüz (şekilde temsil edilir: 
Alttaki k=0 ifadesi başladığınız, en üstteki sayı ise bittiğiniz yerdir. Her terim, sigmanın sağındaki ifadede n yerine getirilerek bulunur. Sigma gösterimi, sonlu bir geometrik serinin toplamını, sonsuz bir geometrik serinin toplamını veya diğer tür serilerin toplamını temsil etmek için kullanılabilir.
Örneğin, sonlu bir geometrik dizinin ilk 10 terimini toplamak için sigma notasyonu şu şekilde gösterilebilir:
Basitçe yaptığınızda bunun yukarıdakiyle aynı olduğunu fark edeceksiniz. 

Sonlu Geometrik Serileri Özetlemek
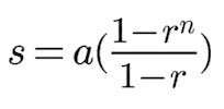
İlk n terimin toplamı şu formül kullanılarak bulunabilir:
Sigma notasyonunda bunu şu şekilde yazabilirsiniz:
Burada pay ve paydayı karıştırmayın. Pay, özetlediğiniz terimlerin sayısına eşdeğer bir üs içerir.
Bunun nasıl çalıştığına bakalım. Diyelim ki sonlu bir geometrik serimiz var: 5, 10, 20, 40, 80…
Buradaki ortak oran r 2’dir.
İlk terim a 5’tir.
Dördüncü terim ise
İlk 7 terimin toplamını bulmak için denklemi kullanırdık:
Tanımladığımız n=7, r=2 ve a=5 terimlerini yerine koyarken şunu elde ederiz:
Cevabımızı normal yoldan kontrol edebiliriz:
Basitleştirilmiş Sonlu Geometrik Serilerin Toplamı
Sonlu sayıda terimin toplamını ifade etmek için sigma gösterimini kullanabilirsiniz (ancak daha yüksek matematikte sonsuz sayılar için bile nasıl çalıştığını göreceksiniz).
Geometrik bir serinin ilk n terimi için bu toplam formülünü elinizin altında bulundurun:
Bu denklemi anlarsanız, kısa sürede sonlu geometrik serileri toplama yolunda olacaksınız.












