Koordinat Düzleminde Uzaklık ve Formüller Nasıl Kullanılır?
Uzaklık ve orta nokta formülleri ile bir koordinat düzleminde herhangi iki nokta arasındaki uzaklığı ve orta noktayı bulabilirsiniz.
Uzaklık formülü size iki uç nokta arasındaki tek bir değer olarak ifade edilen d mesafesini verir:
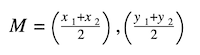
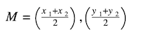
Orta nokta formülü size iki uç nokta arasında sıralı bir çift olarak ifade edilen orta noktayı verir:
Mesafe Formülü Nasıl Çözülür
Uzaklık formülü, verilen herhangi iki nokta için çalışır. (1, 3) ve (3, 7) koordinat noktalarına sahip bu örneğe bir göz atalım:
İki uç noktayı bir üçgen üzerinde iki köşe olarak hayal edersek, uzaklık formülünün nasıl çalıştığını görebiliriz. Bir dik üçgenin hipotenüsünün karesi alındığında iki bacağın karesinin toplamına eşit olduğunu unutmayın. Uzaklık formülü buradan gelir.
İşte üçgenin diyagramımızdaki yeri:
Bu örnekte, üçgenin yeşil ve mavi noktalı kenarları bir dik üçgen oluşturan dik çizgilerdir.
Grafikte gördüğümüz gibi üçgenin bu mavi tarafı 4 birim, yeşil tarafı 2 birim uzunluğundadır. Ama kırmızı taraf ne kadar uzun? İki orijinal noktamız arasındaki mesafedir.
Pisagor teoremini uygulayalım, c²=a²+b². Kırmızı çizgiyi c, hipotenüs ve yeşil ve mavi çizgileri a ve b kenarlarının yerine koyacağız.
Her iki tarafın karekökünü alacağız:
Son olarak renkleri değiştiriyoruz. “Kırmızı” D veya mesafe olur.
Şimdi koordinat çiftlerimize bakın. (1, 3) olarak adlandıracağız 

“Yeşil”, x değerlerindeki değişikliktir, bu nedenle iki koordinat çiftinin x değerlerini çıkaracağız,
Aynı şekilde, “mavi”nin değeri de “y”deki değişimdir. 
Bu değerleri yerine koyduğumuzda uzaklık formülü ortaya çıkar:
Buradaki hipotenüsün uzunluğu, bitiş noktalarımız arasındaki mesafedir. Cevabı bulmak için noktaları değiştirelim:
Ardından işlem sırasına göre PEMDAS’ı sadeleştiriyoruz:
Bunu karekök olarak bırakabilir veya 4.47 sayısal değerine sadeleştirebiliriz.
Orta Nokta Formülü Nasıl Çözülür?
Herhangi iki nokta arasındaki orta noktayı bulmak için orta nokta formülünü kullanacaksınız. Bunu yapmak için formül, uç noktaların koordinatlarına bakar ve ardından x-koordinatları ile y-koordinatları arasındaki ortalama değeri bulur.
Aşağıdaki grafikte iki koordinat noktası arasında bir doğru parçası var. 

Doğru parçasının orta noktası şu şekilde ifade edilir:
Ortadaki kırmızı nokta, orta nokta için yeni koordinat çiftini temsil eder:
Yukarıdaki koordinat değerlerini denklemde yerine koyalım:
Uzaklık ve Orta Nokta Formüllerini Uygulama
Uzaklık ve orta nokta formülleri, bir koordinat düzleminde iki uç nokta arasındaki uzaklığı ve orta noktayı bulmamıza yardımcı olabilir. İki koordinat çifti arasındaki doğru parçası formülünün orta noktası 

Koordinat çiftleriyle gösterilen aynı doğru parçasının mesafesi 

Biraz daha pratikle bu formüllerde kolaylıkla gezinebilirsiniz.


















